1.为什么要有图?
前面我们学了线性表和树,发现有以下局限性: 1. 线性表局限于一个直接前驱和一个直接后继的关系 2. 树也只能有一个直接前驱也就是父节点 3. 无论是线性表还是树都无法表示多对多的关系

2.图的常用概念

3.图的实现方式
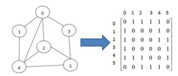
图的表示方式有两种:二维数组表示(邻接矩阵);链表表示(邻接表)。
邻接矩阵: 邻接矩阵是表示图形中顶点之间相邻关系的矩阵,对于 n 个顶点的图而言,矩阵是的 row 和 col 表示的是 1....n个点。

邻接表:

4.图的遍历
图的深度优先搜索(Depth First Search),和树的先序遍历比较类似。
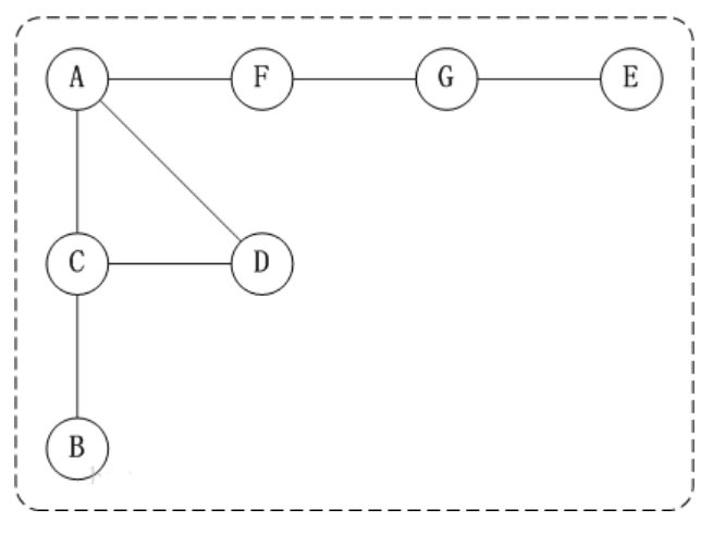
思路:假设初始状态是图中所有顶点均未被访问,则从某个顶点v出发,首先访问该顶点,然后依次从它的各个未被访问的邻接点出发深度优先搜索遍历图,直至图中所有和v有路径相通的顶点都被访问到。 若此时尚有其他顶点未被访问到,则另选一个未被访问的顶点作起始点,重复上述过程,直至图中所有顶点都被访问到为止。显然,深度优先搜索是一个递归的过程。

访问顺序是:A -> C -> B -> D -> F -> G -> E
广度优先
从图中某顶点v出发,在访问了v之后依次访问v的各个未曾访问过的邻接点,然后分别从这些邻接点出发依次访问它们的邻接点,并使得“先被访问的顶点的邻接点先于后被访问的顶点的邻接点被访问,直至图中所有已被访问的顶点的邻接点都被访问到。如果此时图中尚有顶点未被访问,则需要另选一个未曾被访问过的顶点作为新的起始点,重复上述过程,直至图中所有顶点都被访问到为止。换句话说,广度优先搜索遍历图的过程是以v为起点,由近至远。

访问顺序是:A -> C -> D -> F -> B -> G -> E
5.实例
使用Java代码实现如下图结构

package com.simoniu.map;
import java.util.ArrayList;
import java.util.Arrays;
import java.util.LinkedList;
public class Graph {
private ArrayList<String> vertexList; //存储顶点集合
private int[][] edges; //存储图对应的邻结矩阵
private int numOfEdges; //表示边的数目
//定义给数组 boolean[], 记录某个结点是否被访问
private boolean[] isVisited;
//构造器
public Graph(int n) {
//初始化矩阵和 vertexList
edges = new int[n][n];
vertexList = new ArrayList<String>(n);
numOfEdges = 0;
}
//得到第一个邻接结点的下标 w
/**
* @param index
* @return 如果存在就返回对应的下标,否则返回-1
*/
public int getFirstNeighbor(int index) {
for (int j = 0; j < vertexList.size(); j++) {
if (edges[index][j] > 0) {
return j;
}
}
return -1;
}
//根据前一个邻接结点的下标来获取下一个邻接结点
public int getNextNeighbor(int v1, int v2) {
for (int j = v2 + 1; j < vertexList.size(); j++) {
if (edges[v1][j] > 0) {
return j;
}
}
return -1;
}
//深度优先遍历算法
//i 第一次就是 0
private void dfs(boolean[] isVisited, int i) {
//首先我们访问该结点,输出
System.out.print(getValueByIndex(i) + "->");
//将结点设置为已经访问
isVisited[i] = true;
//查找结点 i 的第一个邻接结点 w
int w = getFirstNeighbor(i);
while (w != -1) {//说明有
if (!isVisited[w]) {
dfs(isVisited, w);
}
//如果 w 结点已经被访问过
w = getNextNeighbor(i, w);
}
}
//对 dfs 进行一个重载, 遍历我们所有的结点,并进行 dfs
public void dfs() {
isVisited = new boolean[vertexList.size()];
//遍历所有的结点,进行 dfs[回溯]
for (int i = 0; i < getNumOfVertex(); i++) {
if (!isVisited[i]) {
dfs(isVisited, i);
}
}
}
//对一个结点进行广度优先遍历的方法
private void bfs(boolean[] isVisited, int i) {
int u; // 表示队列的头结点对应下标
int w; // 邻接结点 w
//队列,记录结点访问的顺序
LinkedList queue = new LinkedList();
//访问结点,输出结点信息
System.out.print(getValueByIndex(i) + "=>");
//标记为已访问
isVisited[i] = true;
//将结点加入队列
queue.addLast(i);
while (!queue.isEmpty()) {
//取出队列的头结点下标
u = (Integer) queue.removeFirst();
//得到第一个邻接结点的下标 w
w = getFirstNeighbor(u);
while (w != -1) {//找到
//是否访问过
if (!isVisited[w]) {
System.out.print(getValueByIndex(w) + "=>");
//标记已经访问
isVisited[w] = true;
//入队
queue.addLast(w);
}
//以 u 为前驱点,找 w 后面的下一个邻结点
w = getNextNeighbor(u, w); //体现出我们的广度优先
}
}
}
//遍历所有的结点,都进行广度优先搜索
public void bfs() {
isVisited = new boolean[vertexList.size()];
for (int i = 0; i < getNumOfVertex(); i++) {
if (!isVisited[i]) {
bfs(isVisited, i);
}
}
}
//图中常用的方法
//返回结点的个数
public int getNumOfVertex() {
return vertexList.size();
}
//显示图对应的矩阵
public void showGraph() {
for (int[] link : edges) {
System.err.println(Arrays.toString(link));
}
}
//得到边的数目
public int getNumOfEdges() {
return numOfEdges;
}
//返回结点 i(下标)对应的数据 0->"A" 1->"B" 2->"C"
public String getValueByIndex(int i) {
return vertexList.get(i);
}
//返回 v1 和 v2 的权值
public int getWeight(int v1, int v2) {
return edges[v1][v2];
}
//插入结点
public void insertVertex(String vertex) {
vertexList.add(vertex);
}
//添加边
/**
* @param v1 表示点的下标即使第几个顶点 "A"-"B" "A"->0 "B"->1
* @param v2 第二个顶点对应的下标
* @param weight 表示
*/
public void insertEdge(int v1, int v2, int weight) {
edges[v1][v2] = weight;
edges[v2][v1] = weight;
numOfEdges++;
}
public static void main(String[] args) {
//测试一把图是否创建 ok
int n = 5; //结点的个数
String vertexs[] = {"A", "B", "C", "D", "E"};
//创建图对象
Graph graph = new Graph(n);
//循环的添加顶点
for (String vertex : vertexs) {
graph.insertVertex(vertex);
}
//添加边
//A-BA-C B-C B-D B-E
graph.insertEdge(0, 1, 1); //A-B
graph.insertEdge(0, 2, 1); //
graph.insertEdge(1, 2, 1); //
graph.insertEdge(1, 3, 1); //
graph.insertEdge(1, 4, 1); //
//显示一把邻结矩阵
graph.showGraph();
//测试一把,我们的 dfs 遍历是否 ok
System.out.println("深度遍历");
graph.dfs(); //A->B->C->D->E [1->2->4->8->5->3->6->7]
// System.out.println();
System.out.println("广度优先!");
graph.bfs(); //A->B->C->D-E [1->2->3->4->5->6->7->8]
}
}
运行结果:
[0, 1, 1, 0, 0]
[1, 0, 1, 1, 1]
[1, 1, 0, 0, 0]
[0, 1, 0, 0, 0]
[0, 1, 0, 0, 0]
深度遍历
A->B->C->D->E->广度优先!
A=>B=>C=>D=>E=>