← 返回首页
微积分极限部分练习题
发表时间:2024-11-14 07:02:38
微积分极限部分练习题

1.微积分极限部分练习题

题目1:

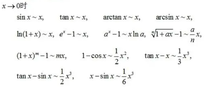
首先我们要了解求极限时候,常用的等价无穷小替换公式:

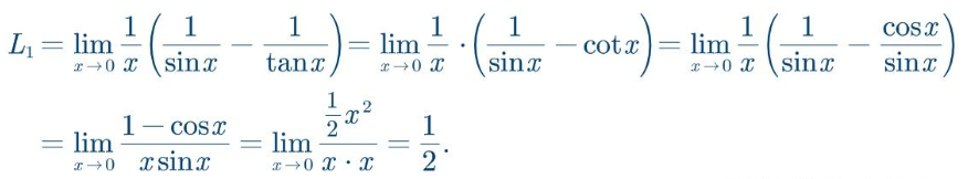
利用等价无穷小替换求解过程如下。

上面的求解过程还用到了常见的三角函数的二倍角公式如下。

题目2: