导数可以通俗地理解为一个函数在某一点上的瞬时变化率,或者说是斜率。对于一元函数,导数就是变化率,几何意义就是切线的斜率,在物理概念上就是瞬时速度或者加速度。(简单说就是:对距离求导是速度,对速度求导是加速度。)

举个生活中的例子,当你开车行驶在路上时,你的速度表可以显示你的瞬时速度,这个速度实际上是你位置关于时间的导数。如果速度表显示你每小时行驶60公里,那么这个导数告诉我们,每过一小时,你就前进了60公里。如果考虑到非常非常短的时间间隔,比如一秒钟,那么导数就告诉你每秒钟你的位置是如何变化的。
下面是常见初等函数求导公式:

导数常见的数学符号:
导数的四则运算法则包括加法法则、减法法则、乘法法则和除法法则,具体如下:
实例:
以tanx求导过程为例。

微分是导数概念的一个自然扩展。它通常用来描述函数随着输入值的微小变化而变化的量。从数学角度来说,如果你有一个关于时间的位置函数,微分这个函数就相当于计算在每一个时间点的速度。所得到的这个速度值,就是原函数在这一点的微分。
导数和微分是密切相关的概念,在数学中常常被一起讨论,但它们有着明确的区别:
对于一元函数而言可导必定可微,可微也必定可导。
复合函数是由两个或更多函数组合而成的函数,例如:如果有函数f和函数g,则它们可以组合成复合函数f(g(x))。
复合函数f(g(x))求导可以使用链式法则(Chain Rule)。如果y=f(u) 和u=g(x),那么复合函数y=f(g(x))的导数可以通过链式法则计算如下:

实例:
假设有复合函数
,这里,
,根据链式法则,我们首先找到sin(u)关于u的导数 ,即
然后找到
关于x的导数,即2x。将这两个导数相乘,得到:

高阶导数是指对一个函数进行多次导数操作后得到的结果。初次对函数求导得到的是一阶导数,也就是我们通常说的导数。如果对一阶导数再次求导,就得到了二阶导数。类似地,对二阶导数再求导得到三阶导数,依此类推,可以得到更高阶的导数。
实例:
对于原函数 f(x) = x^3

高阶导数的物理意义比如:位置对时间的一阶导数是速度,二阶导数就是加速度。
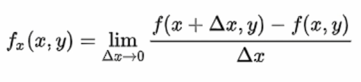
偏导数是多变量函数中的一个概念,用于描述函数在某一变量变化时,其他变量保持不变下,函数值的变化率。简单来说,偏导数帮助我们理解在多维空间中,当我们只改变一个方向上的输入(例如,只改变x或y),函数是如何响应的。
比如:二元函数固定y,只让x单独变化,从而看成是关于x的一元函数的变化研究。

举个通俗的例子,想象你在一座有很多小山丘的大公园里散步,你的位置可以用两个坐标表示:向东的距离x和向北的距离y。这个公园的每一点都有一个高度,我们可以用一个函数f(x,y)来描述这个高度。
如果你想知道从当前位置向东走一步的效果(即向东方向的高度变化),而不管向北走会怎样,这时你计算的就是函数 f 关于x 的偏导数,记为:
。这个偏导数告诉你,当x 增加一小点时,高度f 的变化率是多少,而此时y 保持不变。
同样地,如果你想知道向北走一步的效果(即向北方向的高度变化),你会计算函数f关于y 的偏导数,记为:
。这个偏导数表明,当y 增加一小点时,高度f 是如何变化的,而此时x 保持不变。
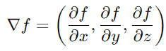
梯度是一个向量,它包含了多变量函数在给定点上所有偏导数的信息。对于函数f(x,y,z),其梯度表示为
并且计算为:

梯度向量的方向是函数增长最快的方向,其大小(模)是该方向上的增长率。
偏导数和梯度在许多领域都有广泛的应用,例如在物理学中描述物体的速度和加速度,在机器学习中用于优化问题(如梯度下降法),以及在经济学中分析成本和利润函数的变化。