梯度的概念
导数(一元函数)就是变化率,是切线的斜率,在物理概念上就是瞬时速度。

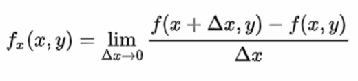
导数是只含一个自变量的方程中,当自变量有了一个很小的变化时函数的变化率.偏导数是含有2个或者2个以上的自变量的方程中,当这些自变量中的其中一个产生了一个微小的变化并且另外的变量都不变时整个函数的变化率.这两个的区别在于导数的概念是伴随着1维方程(就是只含有一个未知数的方程)存在的,偏导数是伴随着多维方程存在的。
比如:二元函数固定y,只让x单独变化,从而看成是关于x的一元函数的变化研究。

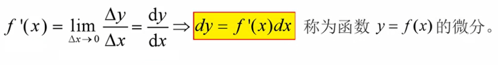
导数是切线的斜率,而微分就是切线的增量。因此导数与微分是紧密联系,但是导数不等于微分。对于一元函数而言可导必定可微,可微也必定可导。


梯度的概念是深度学习及最优化中核心的概念之一,精确的理解梯度的概念,对于理解反向传播的过程、优化过程及各种深度学习优化器的改进版具有很大的帮助。
理解替代之前,我们必须先理解什么是方向导数?所谓方向导数本质是一个数值,简单来说其定义为:一个函数沿指定方向的变化率。
那么梯度就是指这样的一个向量,它的方向等于方向导数中取到最大值的方向,梯度的模为方向导数的最大值。
偏导数、方向导数、梯度之间微妙的关系如下
附录:
