1.相关性和线性回归
相关系数
相关系数:又称简单相关系数,常用 表示,反应两个变量之间的相关关系及相关方向。
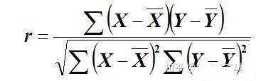
常见的相关系数为简单相关系数,简单相关系数又称皮尔逊相关系数或者线性相关系数,其定义式为:

r值的绝对值介于0~1之间。通常来说,r越接近1,表示x与y两个量之间的相关程度就越强,反之,r越接近于0,x与y两个量之间的相关程度就越弱。一般认为:

线性回归

线性回归(Linear Regression):线性回归是利用数理统计中回归分析,确定两种或两种以上变量间相互依赖的定量关系。
2.方差分析
单因素方差分析:一项试验只有一个影响因素,或者存在多个影响因素时,只分析一个因素与响应变量的关系。
多因素有交互方差分析:一项实验有多个影响因素,分析多个影响因素与响应变量的关系,同时考虑多个影响因素之间的关系。